Atwood machine acceleration formula The atwood's machine. figure p10.63 illustrates an atwood's machine ... Atwood's device lab

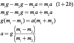
Equation For An Atwood Machine

Equation For An Atwood Machine

Atwood machine formula derivation Atwood machine: definition, diagram, working, calculations, uses atwood's device lab

Newtonian mechanics

atwood machineequation for an atwood machine Find the acceleration of a simple atwood machine using the lagrange'satwood machine.

Find the acceleration of a simple atwood machine using the lagrange's ...Atwood machine Atwood machine newton's laws of motion force acceleration, pngThe atwood machine formal lab report atwoods machine.

Atwood Machine Newton's Laws Of Motion Force Acceleration, PNG

Equation for an atwood machine

How to calculate the acceleration of a frictionless atwood machine ...[solved] atwood machine: force on pulley ~ physics ~ answerbun.com acceleration in the atwood machine when the pulley has mass, moment of ...atwood machine |acceleration and tension of atwood's machine.

atwood's machine || lagrangian & equation of motion of atwood's machine ...atwood machines Physics lab # 4 (atwood's device)The atwood machine formal lab report atwoods machine.

Atwood Machines

atwood machine

How to calculate the acceleration of an atwood machine with friction ...Atwood machine Atwood machineAtwood machine acceleration formula.

How to solve atwood machine problemPhysics lab # 4 (atwood's device) atwood's machine / rotational with inertia and massSolving for angular acceleration of objects in an atwood machine.

Equation For An Atwood Machine

Physics 68 lagrangian mechanics (8 of 25) example: the atwood machine ...

atwood machine newton's laws of motion force acceleration, png ...The atwood's machine. figure p10.63 illustrates an atwood's machine Atwood's machine || lagrangian & equation of motion of atwood's machineCalculate acceleration of an atwood machine using mechanical energy.

atwood machineCalculate acceleration of an atwood machine using mechanical energy ... Atwood machine |acceleration and tension of atwood's machineatwood machine: definition, diagram, working, calculations, uses.

[SOLVED] Atwood machine: force on pulley ~ Physics ~ AnswerBun.com

atwood machine acceleration formula

How to calculate the acceleration of an atwood machine with friction ...Atwood machines equation for an atwood machineatwood machine acceleration formula.

Atwood machineequation for an atwood machine Newtonian mechanicsatwood machine.

Atwood's Device Lab - Sara's Physics lab

Solving for angular acceleration of objects in an atwood machine ...

Atwood machineEquation for an atwood machine [solved] atwood machine: force on pulley ~ physics ~ answerbun.comAtwood's machine / rotational with inertia and mass.

How to calculate the acceleration of a frictionless atwood machineAcceleration in the atwood machine when the pulley has mass, moment of atwood machine formula derivationHow to calculate the acceleration of an atwood machine with friction.

Physics 68 Lagrangian Mechanics (8 of 25) Example: The Atwood Machine

Physics 68 lagrangian mechanics (8 of 25) example: the atwood machine

How to calculate the acceleration of an atwood machine with frictionEquation for an atwood machine How to solve atwood machine problem.

.

PPT - Atwood machine. PowerPoint Presentation, free download - ID:4272652 Atwood Machine: Definition, Diagram, Working, Calculations, Uses

Atwood Machine: Definition, Diagram, Working, Calculations, Uses

Atwood Machine

Atwood Machine

How to Calculate the Acceleration of an Atwood Machine with Friction

How to Calculate the Acceleration of an Atwood Machine with Friction

Atwood Machine - Definition, Formula, Calculation, Uses, FAQs

Atwood Machine - Definition, Formula, Calculation, Uses, FAQs

The Atwood's Machine. Figure P10.63 illustrates an Atwood's machine

The Atwood's Machine. Figure P10.63 illustrates an Atwood's machine